

RBS不定期分享技术和研究主题,与业界人士进行技术沟通和交流。
RBS上海分公司工程师李家瑞分享的题目是:《钢结构受扭预制构件设计方法研究与分析》

李家瑞
苏格兰皇家银行结构工程师
一级注册结构工程师
演讲题目:《钢结构受扭预制构件设计方法研究与分析》
01概述
近年来,在实际工程的结构设计中,经常遇到钢结构预制构件承受较大弯矩的情况。 但我国《钢结构设计标准》GB50017-2017(简称《中国钢标准》)并没有对预制构件作出规定。 轴承力矩的具体设计和估算方法。 为了更准确地掌握预制构件的扭转应力,并在实际工程中对预制构件的扭转进行更合理的设计,本文详细介绍了《美国钢结构标准》AISC360-16(简称《美国钢铁标准》)。 》),分析理解了规范中扭转硬度设计值Tc的估算公式,推导并验证了扭转硬度设计值Tc情况和应力比对应的预制构件的实际挠度分布,探索了截面范围该公式适用的规范,为实际工程中扭转预制构件的设计和估算提供了理论参考。
02 美国规格
《美国钢标》H3.1章规定了以下两套HSS(空心结构型材、空心结构工字钢)扭转硬度设计值Tc的估算方法。 两套硬度估算公式对应不同的载荷组合。

两种方法的估计结果之间的关系为:
本文以下内容都是基于LRFD方法的估计结果进行研究的。
对于圆形高速钢预制构件,《美国钢铁标准》提供了以下估算方法,其中h/t为预制构件长边的高度与厚度之比。 Fy为钢材的最小屈服强度,E为预制构件的弹性泊松比。

对于矩形高速钢预制构件,《美国钢铁标准》的计算公式如下,要求(1)和(2)中较大的值且不小于0.6Fy。 D为内环半径,t为长度,L为预制构件的厚度。 。

03 预制构件Tc与挠度关系
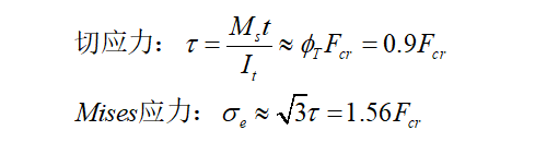
参见王立军院士《扭转杆件的设计》中的介绍【王立军. 扭转杆件的设计[J]. [钢结构(中英文),2021,36(9):40-48],《美国钢标准》H3章的规定表明,在闭截面扭转设计中,假设所有力矩均由自由扭转承担,即纯扭剪应力。 对于自由扭转封闭截面预制构件,剪应力的估算公式为: 式中,A为封闭截面板中心线所围成的面积。

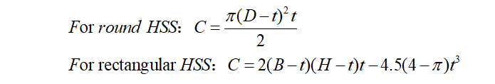
《美国钢铁标准》H3章介绍了扭转常数C的估算方法如下:

可见扭转常数C≈It/t,由此可以推导出根据《美国钢标》计算的扭转设计硬度Tc与预制构件实际挠度的关系。 对于箱形截面预制构件,预制构件挠度对应的Tc为:

对于工字钢截面预制构件,与Tc对应的挠度关系如下:

对于我国S1型(梁)构件,通过建模分析,在弯矩作用下,实际挠度大小与理论估算结果基本一致。 如果截面规格太小,则扭转硬度设计值Tc小,导致预制构件的剪应力值小(小于100MPa)。 此时,受到部分约束扭转引起的正挠度的影响,构件的实际米塞斯应力与理论值相差10%左右。 误差,但随着预制构件横截面减小,剪应力减小,约束扭转的影响明显变小,可以忽略不计。 因此,对于封闭截面预制构件来说,预制构件在纯力矩作用下主要是自由扭转。 在相同大小的弯矩作用下,长度对预制构件的挠度基本没有影响。
根据说明书中对求解Fcr的方法的具体分类,可以总结出以下规则:
表1 Q345箱式预制构件

表2 Q345圆钢管


图1
Tc硬度下Q345箱形预制构件主梁宽厚比与构件应力比关系曲线
从表1、表2和图1可以看出,参照《中国钢材标准》3.5.1节板宽厚比判断原则,我公司的S1、S2级(梁)箱型截面国家Q345材料采用《美国钢标》计算扭转设计硬度Tc,构件挠度控制在0.93fy; S3级(梁)箱形截面预制构件挠度控制在0.93fy~0.75fy; S4级(梁)箱形截面预制构件挠度控制在0.75fy~0.06fy; 箱梁高厚比越大,扭转硬度设计值Tc越保守,材料硬度利用率越低。 Q345材质的S1~S4级圆钢管截面应力控制在0.93fy。
04 翼缘宽厚比和截面长宽比对扭转硬度设计值Tc的影响
《美国钢标准》H3.1章中受扭杆件的设计方法是针对德国HSS(空心结构型材,空心结构工字梁)。 此类预制构件具有固定的截面规格,翼缘与主梁长度相同。 。 因此,在估算高速钢预制构件的扭转硬度设计值Tc时,只需考虑截面纵梁(较长边)的宽厚比即可。 我国主要采用焊接箱型材。 断面分为主梁部分和主梁部分,相应的宽厚比要求不同。 因此,在应用《美国钢铁标准》的受扭杆件设计方法时,截面必须满足主梁长度不大于主梁长度。 否则,在扭转硬度设计值Tc的作用下,S1级(梁)截面的应力比可能会超过fy,发生屈服。
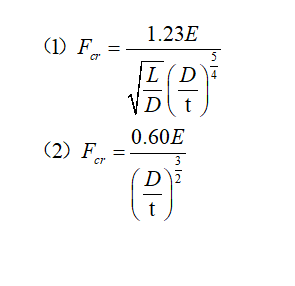
根据《美国钢标》H3章规定,参照G4章钢主梁剪切稳定硬度估算公式估算临界应力Fcr,其中Cv2为简支剪切屈曲硬度系数。
什么时候
,此时临界应力由材料硬度控制。 但根据各种截面预制构件的屈曲分析估算,当截面高宽比较大时钢结构设计步骤,构件失稳临界值大于《美国钢标》的扭转硬度设计值Tc 。
为了研究预制构件扭转失稳临界值与预制构件长宽比、长度的关系,在保持主梁宽厚比一致(满足S1截面)的基础上,比较了长宽比为1~5的12m长预制构件的扭转情况。 硬度设计值Tc和不稳定临界值Tcr。 计算结果如图2所示。



图2
长宽比对Tc和Tcr的影响(H为箱体截面高度,单位mm)
从图2可以看出,随着截面高度的降低,Tc和Tcr的下降趋势基本一致。 长径比较小的截面具有较高的扭转承载能力。 根据图中Tc/Tcr的变化趋势,《美国钢标》的稳定性估算公式仅适用于高度不小于800mm、长径比在1~3之间的箱形截面预制构件。
图3所示为截面高度分别为800mm和900mm的箱体截面。 通过改变预制构件的宽度来观察失稳临界值的变化趋势。 由图可见,当800mm高的箱形截面预制构件宽度为14m时,扭转设计硬度Tc等于扭转失稳临界值Tcr; 当900mm高的箱形截面预制构件的宽度大于8m钢结构设计步骤,且长径比介于1~3范围内时,仍满足《美国钢铁标准》的扭转稳定设计范围。因此,为主梁的宽厚比
对于受扭预制构件,当截面高度小于800mm,或预制构件跨高比小于17时,建议补充扭转稳定分析。

(高=800毫米)

(高=900毫米)
图3 构件宽度对Tcr的影响
05 工字形与箱形构件对比分析
《美国钢标》没有提供开口截面预制构件的设计说明,主要是因为开口截面预制构件在承受力矩时,自由扭转和约束扭转的挠度都比较大,应力分布复杂。
创建与预制构件厚度、翼缘和主梁长度相同的工字形和箱形截面。 为满足S1级(梁)型钢宽厚比要求,主梁长度减至20mm(箱梁为15mm)。 具体预制构件规格如表3所示。计算求解工字截面达到0.93fy时的弯矩大小。 结果如表4所示。
表3 组件信息

表4 计算结果



图4
计算结果与箱截面的比较
从表4和图4可以看出,工字形预制构件的扭转承载能力远高于箱形预制构件。 增加主梁高度并不能显着提高预制构件的扭转承载能力。 以G-3为例分析预制构件的挠度分布,如图5所示。


图5 G-3预制构件挠度分布图
可以看出,G-3预制构件的最大应力分布在预制构件两端拱圈边缘处。 端部正应力较大,其中以Z方向正应力为主。 腹板挠度较小,端梁屈服导致构件失效。
06 总结
1、根据《美国钢标准》H3.1章受扭构件的设计方法,圆钢管的扭转硬度设计值Tc仍对应预制构件0.93fy的挠度值; 对于箱形截面预制构件,高厚比超过一定范围后,箱梁高厚比越大,扭转硬度设计值Tc越保守,材料越低硬度利用率为。 建议在实际工程应用中,考虑到材料点焊的不均匀性和制造偏差,应在一定程度上降低扭转硬度设计值Tc。
2、《美国钢铁标准》的扭转杆件估算方法主要是针对高速钢空心结构工字钢设计的。 应用于我国焊接箱型截面时,必须保证箱梁较短侧墙板的长度不大于较长侧墙板的长度。 两侧拱圈的长度,否则设计结果不安全; 在纯扭转状态下,当截面宽度一致时,可以充分利用两侧蒙皮材料的性能,设计更加经济。
3、《美国钢铁标准》的稳定性估算公式为
,仅适用于高度不小于800mm、长宽比在1~3之间的箱形截面预制构件。因此,对于截面高度小于800mm的扭转预制构件或跨度为-高度比小于17,建议补充扭转稳定性分析。
4、工字形预制构件的扭转设计硬度远高于箱形截面预制构件。 工字预制构件在扭转时同时承受较大的正应力和剪应力。 端部腹板承受较大挠度,腹板应力较小,失效源于预制构件端部主梁的屈服。 实际工程中承受较大弯矩的预制构件不建议采用工字型截面。
···结束···
回顾过去的问题

业务联系:13862018653

关于RBS,扫码
广州荣百盛建筑结构设计事务所(普通合伙)
苏格兰皇家银行建筑工程设计协会
