隋志宇 张军 隆基二手钢结构
摘要:钢-混凝土组合梁。 本文以钢-混凝土组合梁为例。 通过计算钢梁和混凝土梁在施工阶段和正常使用阶段的内力、截面应力、挠度、整体和局部稳定性,给出结果。 上部结构的设计和计算方法为以后同类型桥梁的计算提供了参考。
关键词:组合梁; 迈达斯; 设计;
随着中国经济的快速发展,中国企业逐渐开始制定走出去战略,将国内技术和工艺带到国外。 在“走出去”的过程中,国内工程师很少采用国外标准进行海外项目设计。 钢-混凝土组合梁跨度大、重量轻、易于工厂化施工。 在结构受力方面,该结构可以充分利用钢箱的拉伸性能和混凝土的压缩性能。 从成本上来说,它的价格介于混凝土箱梁和钢箱梁之间,加上组合梁的工期短、桥型美观,在桥梁和建筑结构领域具有很大的优势。
钢-混凝土组合梁根据其受力特点和施工方法可分为两种类型,即:一次应力复合结构和二次应力复合结构。 两者的主要区别在于隆基二手钢结构在施工过程中受力形式不同。 施工过程中,组合梁采用“一次应力复合结构”。 设置适当的预拱度和支架,可以显着减少桥梁建成后的跨中挠度,使桥面混凝土和钢结构的应力分布更加合理。 施工过程中,“二次应力复合结构”钢结构施工完成后,作为上部混凝土的支撑进行施工。 此类结构一般用于不便支撑的区域。 本文以喀麦隆的一座立交桥为例。 上部结构采用预应力钢箱-混凝土组合梁,属“一次应力组合结构”。 通过分析组合梁在施工和使用阶段的内力变形情况,为该地区今后此类结构提供计算依据。
1 项目概况
分离式立交桥跨度为2孔40m连续梁。 桥梁全长86m,总宽13m,巷道净宽12m。 桥梁上部结构采用预应力钢箱和混凝土组合梁,下部结构为钻孔桩基础,中墩墩柱与上部结构固结。 桥梁上跨40m,计算跨径38.5m,叠合梁高度1.7m,采用预应力钢-混凝土组合箱梁结构; 桥面现浇混凝土为B40钢纤维混凝土,现浇层厚度为30cm。 钢箱梁采用FeE400钢,下部钢箱梁高度1.4m。 桥梁上部剖面图如图1所示。

图1 桥梁整体剖面图/mm 下载原图
2 主梁材料及参数 2.1 上部结构概述
根据喀麦隆地方法规,组合梁桥面混凝土设计等级为B40,搭接混凝土强度等级为B40,组合梁钢材设计等级为B30。 具体设计参数如表1所示。
表1 混凝土材料设计参数 下载原图

2.2 预应力钢腱材料特性:
预应力钢筋采用标准强度1860MPa、直径15.24mm、面积140mm2、弹性模量1.9×105MPa的13Φ15.24钢绞线,锚杆采用OVM15-13。
2.3 钢铁
钢箱梁钢板和混凝土钢筋的容重为78.5kN/m3。 钢材设计参数如表2所示。
表2 钢结构设计参数 下载原图

表中:钢材抗剪强度设计值
3 桥梁上部结构设计荷载 3.1 主梁自重
主梁混凝土、钢板、钢筋均按实际值。
3.2 第二期静载
第二阶段的恒载为桥面沥青混凝土和桥面护栏的折算重力。
3.3 变量效应
(1)收缩和蠕变
考虑主梁现浇层混凝土的收缩和徐变效应,各项参数按《FAS-CICULE 61》的规定进行计算。
(2) 人群负荷
根据《中华人民共和国共产党第十一章第六十一条:公路桥梁荷载及检验大纲》规定,桥梁上部结构的人群荷载加载长度>20m。 根据一侧人行道宽度2.5m,可计算出人群荷载集中度ω=2+150/(80+50)=3.5kN/m2。
(3)温度负荷
组合梁桥上部结构按整体温升30℃、冷却5℃考虑。 上部结构温度梯度按《FASCICULE 61》规定计算钢结构设计手册 模量,如图2所示。

图2 FASCICULE 61指定温度梯度计算下载原图
(4)车辆荷载(计算跨度38.5m)
桥梁结构荷载按照法国标准《CPC Chapter 11 Part 61: Road Bridge Loads and Test Program》的规定选取。 喀麦隆地区标准参照法国车辆荷载标准,包括三种:1.BC标准卡车荷载; 2、Mc120系统军用负载; 3、特殊负载:NIGER型车队。 如图3所示。
桥梁冲击系数计算:

其中:L用来表示长度; G永久载荷; S最大负载(负载B)

图3 车辆荷载原始下载图
(5)其他可变负载
施工荷载:组合梁施工期间主要考虑上层现浇混凝土浇筑过程中的人员荷载和机械荷载,取值以10 kN/m为基础。 不包括施工造成的意外力。
组合梁桥面的计算宽度,应按下列规定确定: 钢-混凝土组合中混凝土板的计算宽度,应按下列三个宽度中的最小值确定: (1)1/3梁计算跨度,(2)相邻梁轴线间距离S,(3)钢箱梁支撑宽度(无支撑时为上翼缘板宽度)加12hd 。
由于桥面混凝土采用B40型式,通过将混凝土面层折算为等效钢截面,得到弹性模量比:(nE=Ec/Es=3.762×104/2.06×105=0.18),根据弹性模量计算等效部分如图 4 所示。

图4 下载组合梁转换的钢结构等效面积原图
(6)荷载组合
复合梁荷载与荷载效应按照 BAEL 91 相结合。
4 组合梁计算
(1)施工顺序
本文利用MIDAS对组合梁施工及桥梁竣工的各个阶段进行分析,得到组合梁截面各部分在施工各阶段的应力值以及各施工断面结构的挠度值。

图5 构建流程图 下载原图
(2) 施工阶段弯矩包络线图

图6 下载组合梁各施工阶段最大弯矩原图
通过计算可知,施工阶段支点负弯矩最大值为-15493kN/m,跨中弯矩值最大值为6283.83kN/m。
(3)桥梁竣工后的应力计算
复合梁设计为使用 MIDAS 定制车辆加载。 按照BAEL 91进行荷载组合,并进行应力分析。
现阶段钢梁上缘最大拉应力为55.1MPa

图7 下载桥梁建成后组合梁各部分受力原图。
组合梁正常使用时的应力分析:

图8 下载混凝土桥面断面下缘应力值原图
由图8可见,钢梁正截面最大拉应力为153.7MPa
(4)变形检查
喀麦隆钢筋混凝土桥梁规范中并没有明确规定对挠度变形值提出明确的要求。 仅提供设计原则,即保证结构的外观和正常使用功能。 同时,应根据需要选择合理的挠度。 极限值,具体设计请参考其他规范和研究成果。 本设计参考了我国公路桥梁规范的相关规定[5]。 按规定:对于简支梁或连续梁,车辆荷载(不包括冲击力)引起的竖向挠度不应超过L/600。
根据计算模型,计算出本工程组合梁的最大挠度为0.578m。
(5) 上部组合梁整体稳定性计算
桥梁上部钢箱梁正常使用阶段,连续组合梁上部混凝土翼可以限制梁的横向位移,因此无需计算组合梁的整体稳定性; 桥梁施工过程中,当上部混凝土未施工时,钢箱有开口截面,但有许多隔板限制受压翼缘的横向位移。 整体稳定性可根据箱梁计算:l/b=40/1.7=23.53
(6) 局部稳定性计算
对于连续组合梁,钢梁的上受压翼缘与混凝土结合,下翼缘受拉。 不需要计算局部稳定性,只计算腹板稳定性。 计算后,需要设置竖向加劲肋和水平加劲肋。
(7)剪力钉内力及强度计算
为保证钢箱梁与混凝土桥面结合稳定、无相对位移,设置可靠的剪力键,保证桥面与钢梁共同作用。 剪力键分为刚性、柔性和焊钉三种连接形式。 目前工程中普遍采用焊钉。 其特点是结构可靠、施工方便、技术成熟、混凝土应力集中小。 它们更常用于组合梁设计。 由于外部恒载、活载以及组合梁的偶然作用钢结构设计手册 模量,桥面混凝土与钢材之间产生剪力。 这部分剪力由剪钉承受。
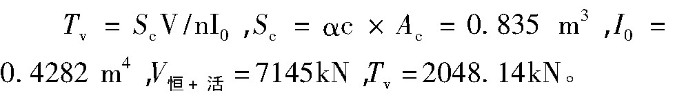
在恒载和活载作用下,钢筋混凝土桥面与钢梁之间因剪力V而产生的单位长度剪力Tv可由下式计算:Tv=ScV/nI0(式中:V为作用在组合梁剪力上的力;Sc为混凝土到组合梁质心的截面矩;I0为组合梁折算出的钢截面的折算截面惯性矩;n为钢梁的弹性模量与混凝土的弹性模量之比)。

(8) 预拱度计算
对于组合梁,引起结构挠度变形的主要因素是车辆荷载,竖向挠度值为
正常使用时因恒载引起的梁竖向挠度值为:
组合梁预弯度设定值为:Δδ=(0.125+0.064)=0.189m(上弯度)。 实际施工图设计中,设置值为20cm。
5 结论
(1)通过建立midas模型并对组合梁模型进行校核,可以得出以下结论: 主梁上部结构截面的强度、刚度和稳定性计算均满足规范要求。
(2)对于组合梁的计算,建议在施工阶段使用MIDAS的组合截面功能。 计算时需考虑组合段混凝土的收缩和徐变。 曲线桥设计应根据实际线路形状建立模型,充分考虑曲线引起的横向和水平变形。 弯扭效应,否则设计计算结果会出现较大出入。
参考
[1] TB 10002.2-2005,铁路桥梁钢结构设计规范。
[2] JTD G64-2015,公路钢结构桥梁设计规范。
[3] 张锦辉. 简支钢箱-混凝土组合梁结构设计研究城市道路、桥梁与防洪,2011。